Macherey-Nagel 

OPTIMA® 225 capillary columns for GC

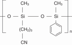
50% cyanopropylmethyl - 50% phenylmethylpolysiloxane

USP G7 / G19
middle polar phase
recommended for fatty acid analyses
similar phases: DB-225, HP-225, OV-225, Rtx-225, CP-Sil 43, 007-225, BP225

max. temperature for isothermal operation: 260°C, max. temperature for short isotherms in a temperature programme: 280°C
Polarity:Mid-polar
Temperature max isotherm:260 °C
Max. temperature programme:280 °C
OPTIMA® 225 capillary columns for GC


OPTIMA® 225 capillary columns for GC
X

Item added to basket.

OPTIMA® 225 capillary columns for GC

Customers also bought:

Material columnUSP listingFilm thickness
µm
Int. Ø
mm
Length
m
PKCat. No.in StockManuf. Prod. No. 
Quartz glassG7,G190.10.11014003050726080.10
Quartz glassG7,G190.250.253014003066726118.30
Quartz glassG7,G190.250.255014003067726118.50
Quartz glassG7,G190.250.256014003068726118.60
Quartz glassG7,G190.250.323014003117726352.30
Quartz glassG7,G190.250.325014003118726352.50
Quartz glassG7,G190.250.326014003119726352.60
Custom-made columns to your specifications available on request.
Each column is individually tested and supplied with test certificate and test chromatogram, but without fittings or ferrules.
Column ends are melted or closed with septa. Additionally, we supply the corresponding test mixture with each column.